Предмет: Геометрия,
автор: nastasyakotova
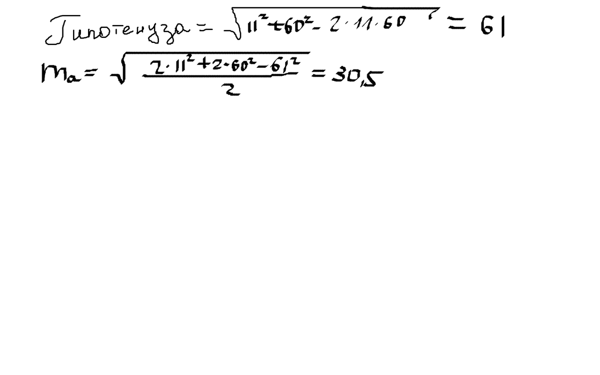
знайдіть,медіану,проведену до гіпотенузи прямокутного трикутника,якщо йгокатети дорівнюють 11 см і 60 см
Ответы
Автор ответа:
0
.......................................................
Приложения:
Похожие вопросы
Предмет: Русский язык,
автор: Kambla
Предмет: Французский язык,
автор: askorb1nka
Предмет: Математика,
автор: Аноним
Предмет: География,
автор: 92385
Предмет: Биология,
автор: mk19