Предмет: Математика,
автор: Luna4546
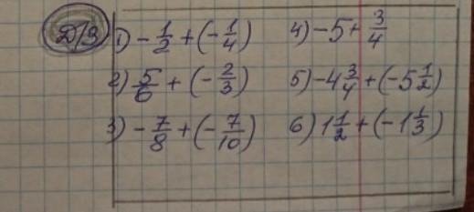
Математика 6 клас допоможіть будь ласка Срочно!!!!!!!!!! на фото. Даю лучшу відповідь і 5 звезди і 36 балів.
Приложения:
Ответы
Автор ответа:
1
Ответ:
відповідь на фотографіях
Приложения:
Похожие вопросы
Предмет: Физика,
автор: palena34
Предмет: Химия,
автор: tyakushik
Предмет: Английский язык,
автор: nastyakysil13
Предмет: Физика,
автор: ivanugo