Предмет: Алгебра,
автор: kwertyyy
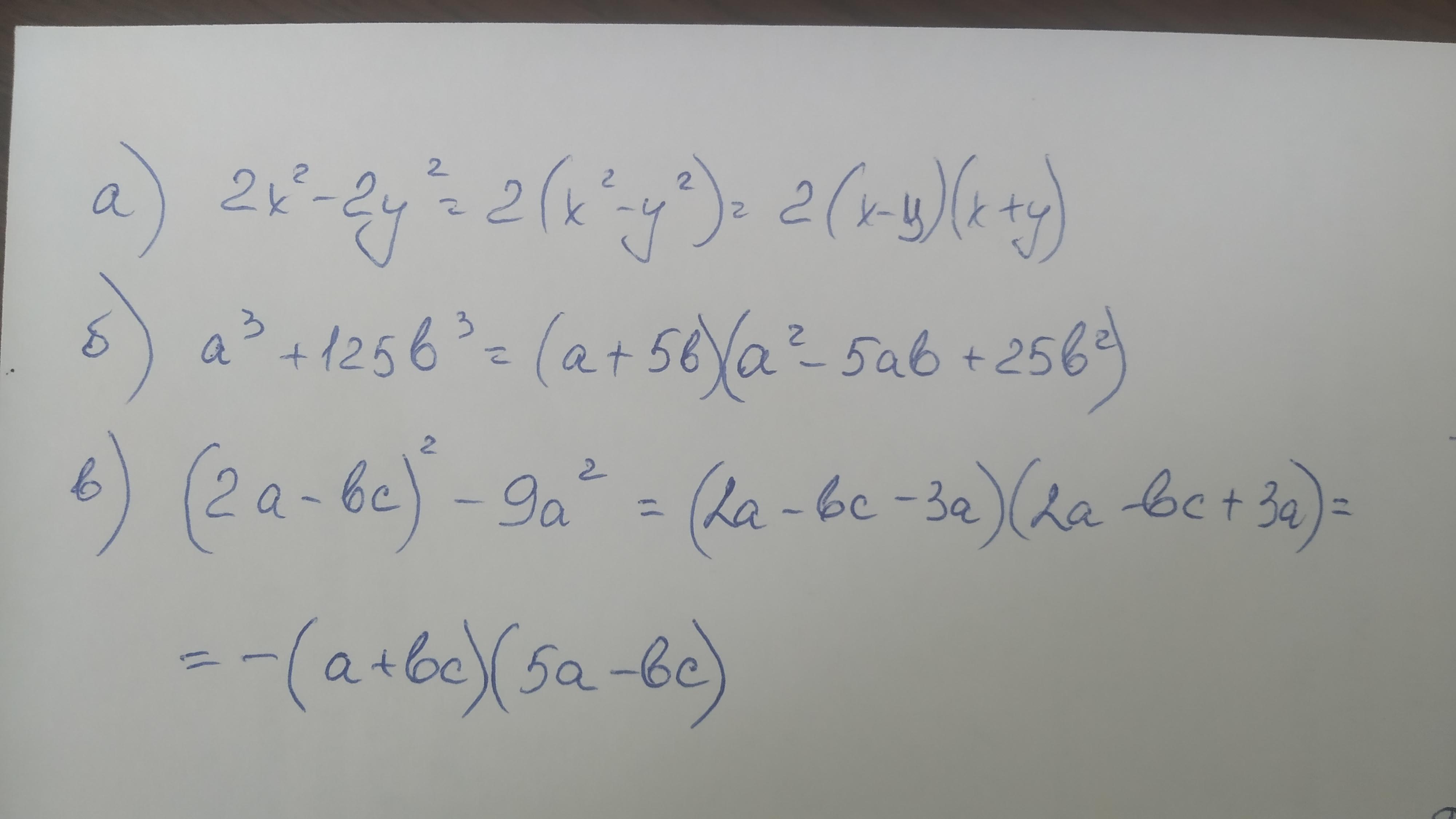
разложите на множители пожалуйста умоляю
Приложения:
Ответы
Автор ответа:
1
Ответ:
Объяснение: формулы разности квадратов и сумма
Приложения:
Похожие вопросы
Предмет: Химия,
автор: boomakk2beach
Предмет: Химия,
автор: boomakk2beach
Предмет: Английский язык,
автор: Аноним
Предмет: Английский язык,
автор: olganedbajlo95
Предмет: Английский язык,
автор: vikabalonina