Предмет: Алгебра,
автор: Аноним
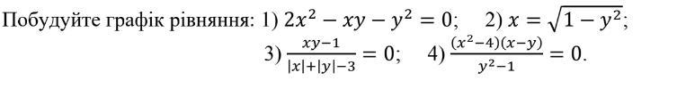
Допоможіть пліз, даю 100 балів
Дати повне рішення
Дякую :)
Приложения:
Ответы
Автор ответа:
1
Ответ:
......................
Приложения:
Похожие вопросы
Предмет: Математика,
автор: yanasolnce38
Предмет: Математика,
автор: Аноним
Предмет: Математика,
автор: katariznik33
Предмет: Английский язык,
автор: yulia11makarevych
Предмет: Геометрия,
автор: lololoshka4511