Предмет: Алгебра,
автор: Chtoooi8273838
СРОЧНО НУЖНА ПОМОЩЬ
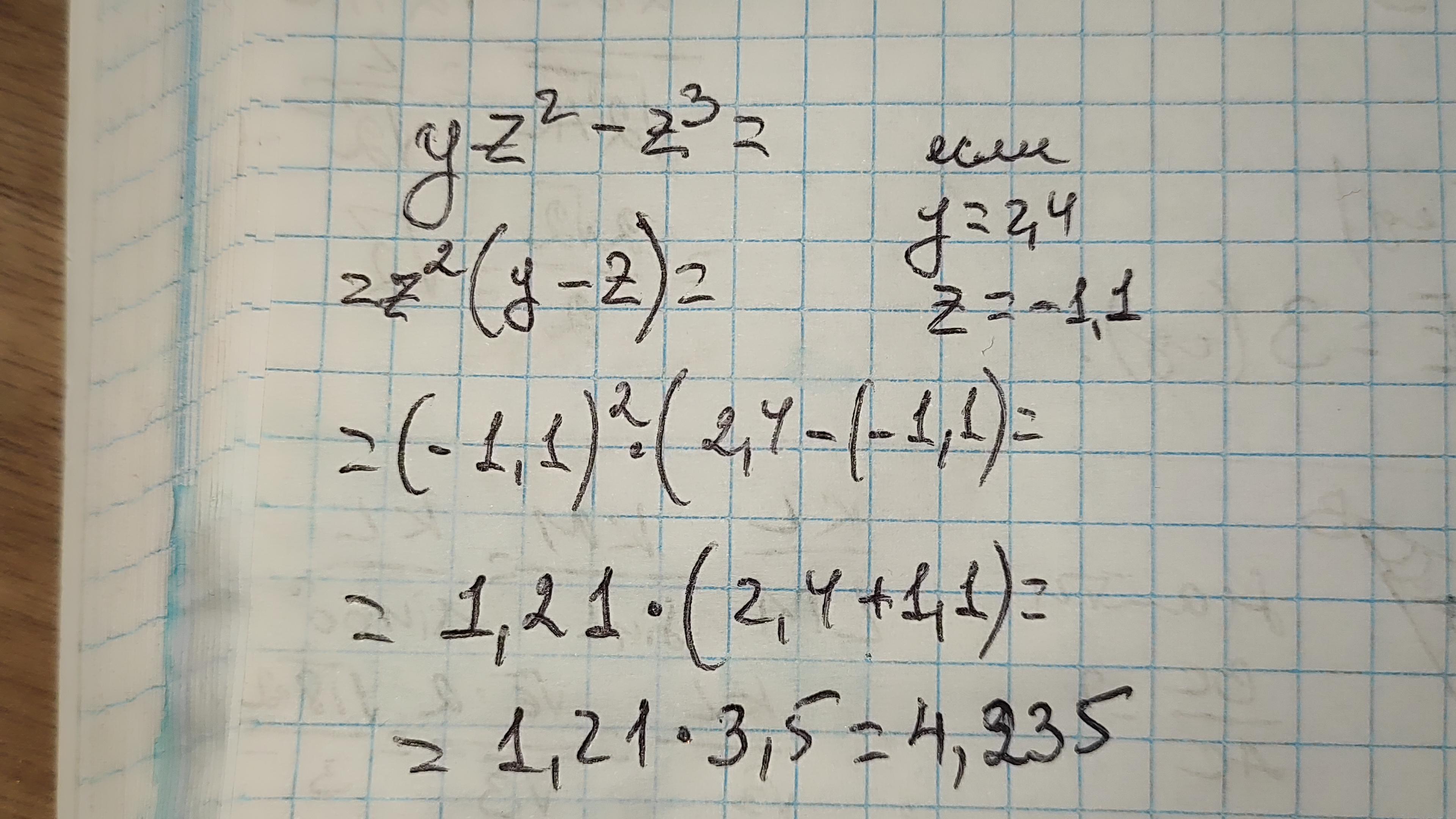
Найдите значение выражения: yz^2-z^3
При y=2,4,z=-1,1
Ответы
Автор ответа:
2
Ответ:вот
Объяснение:
Приложения:
Похожие вопросы
Предмет: Английский язык,
автор: ksyu200586
Предмет: Математика,
автор: artem8149
Предмет: Математика,
автор: wowan0609
Предмет: Українська література,
автор: robloks2008
Предмет: Физика,
автор: evgexao1