Предмет: Математика,
автор: drema290611
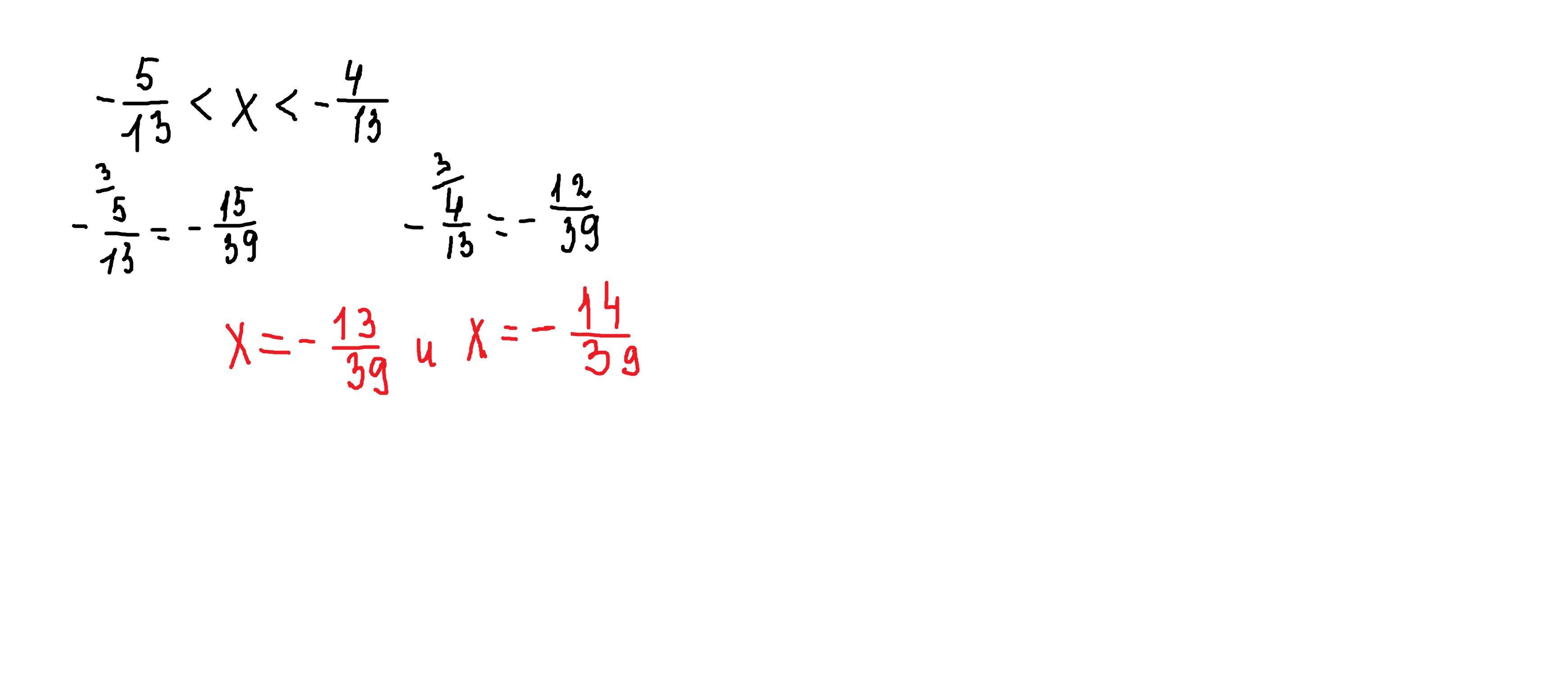
Знайдіть 2 числа кожне з яких більше за -5/13 але меньше від -4/13
Будь ласка.
Ответы
Автор ответа:
0
Ответ:
-13/39 и - 14/39
Пошаговое объяснение:
приведем дроби к новому знаменателю(39) и найдем две дроби
Приложения:
Похожие вопросы
Предмет: Физика,
автор: lyelizavyeta
Предмет: Физика,
автор: svetkamelnik2
Предмет: Математика,
автор: honzodaozodbek
Предмет: География,
автор: morozzena30
Предмет: География,
автор: urydndgdyekeu