Предмет: Алгебра,
автор: kirillfrolov110707
даю 100 балов!!
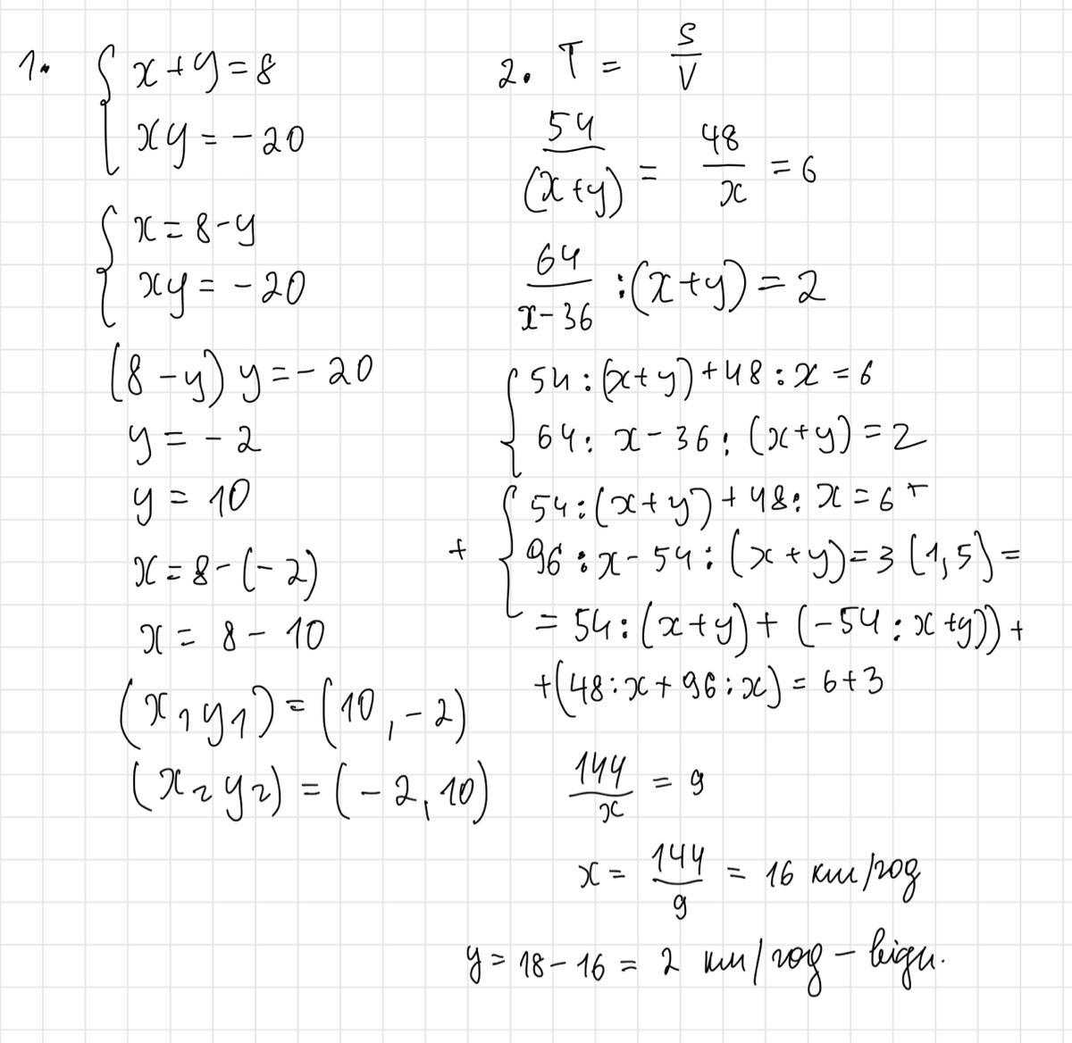
№1. Розв'язати систему двох рівнянь:(поставте знак системи)
х + у = 8,
ху = -20.
№ 2.Задача.
Човен проходить 54 км за течією і 48 км у стоячій воді за 6 годин.Щоб пройти 64 км у стоячій воді ,човен потребує на 2 години більше,ніж для проходження 36 км за течією. Знайти власну швидкість човна і швидкість течії.
Ответы
Автор ответа:
1
Можна кращу відповідь будь ласка якщо не складно
Приложения:
kirillfrolov110707:
Тримай!
Похожие вопросы
Предмет: Английский язык,
автор: adelinastarcenko98
Предмет: Химия,
автор: dereviankomilisa
Предмет: Немецкий язык,
автор: rayanabasnukaeva07
Предмет: Математика,
автор: solovvn
Предмет: Математика,
автор: azajazajev