Предмет: Алгебра,
автор: bodaprostijrustam
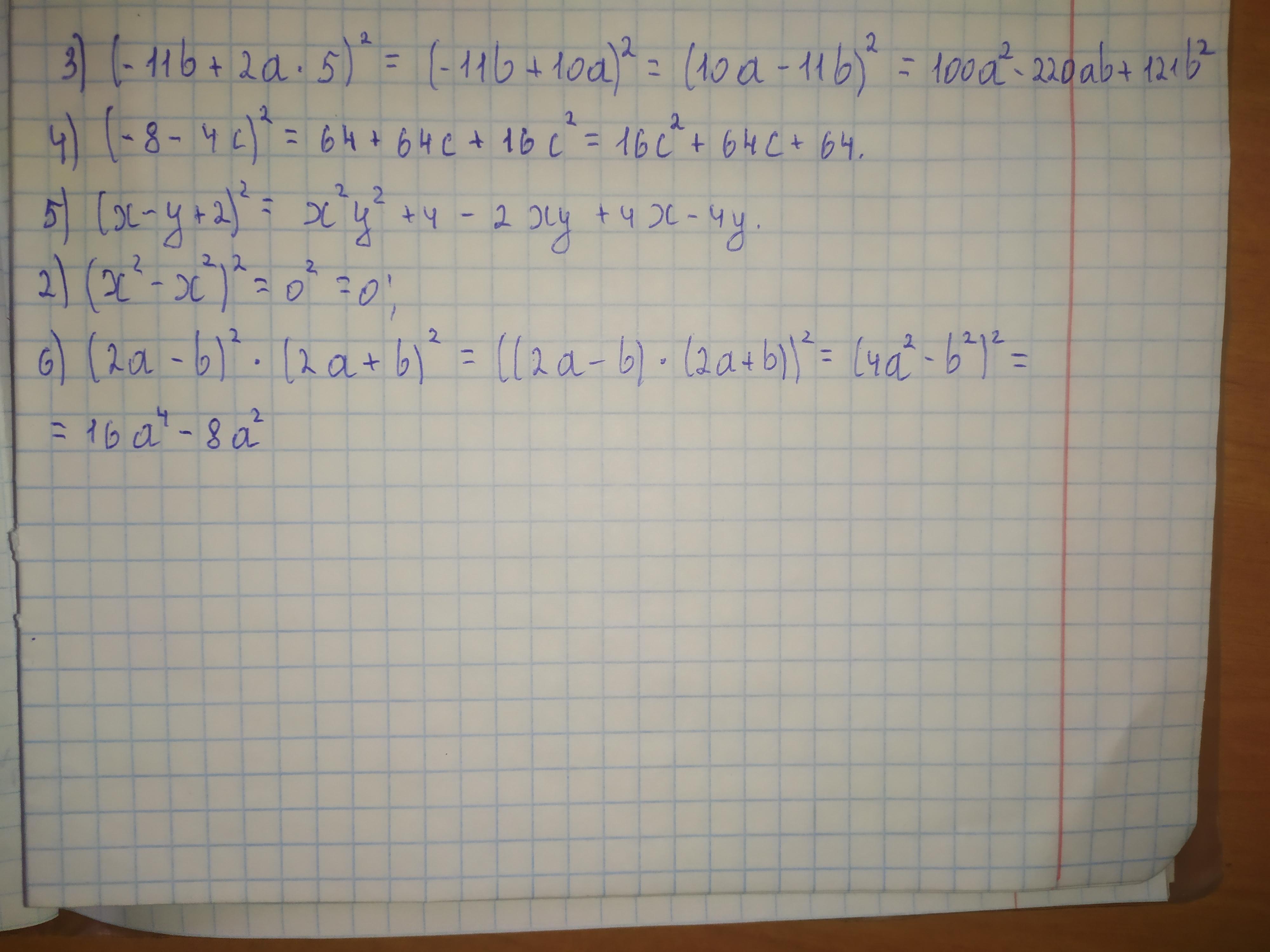
1. Подайте у вигляді многочлена вираз:
3) (-11b+2a5)²;
4) (-8-4c)²;
2) (x²-x²)²;
5) (x-y+2)²;
6) (2a-b)²(2a + b)².
Ответы
Автор ответа:
0
3)100a^2-220ab+121b^2
4)16c^2+64c+64
2)(x^2-x^2)^2=0
5)x^2+y^2+4-2xy+4x-4y
6)16a^4-8a^2b^2+y^4
4)16c^2+64c+64
2)(x^2-x^2)^2=0
5)x^2+y^2+4-2xy+4x-4y
6)16a^4-8a^2b^2+y^4
Автор ответа:
1
.,.,.,.,.,.,.,.,.,.,.,.,.,.,.,.
Приложения:
Похожие вопросы
Предмет: Химия,
автор: Sonechka2020
Предмет: Химия,
автор: nektooooo6747
Предмет: Русский язык,
автор: freyyui9246
Предмет: Алгебра,
автор: dhehehrhdju
Предмет: Алгебра,
автор: popiksasa50