Предмет: Алгебра,
автор: wrfwqqwygweesvdf
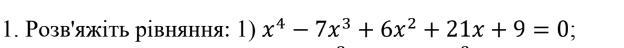
Помогите !!!!!!!!!!!!!!!!!
Приложения:
Ответы
Автор ответа:
1
Ответ:
разделим обе части уравнения на х²,получается уравнение
(х²-7х+6+21)/(х+9/х²)
Приложения:
Похожие вопросы
Предмет: Физика,
автор: durnevichleha83
Предмет: Английский язык,
автор: Alina3312
Предмет: Українська мова,
автор: alacpetr
Предмет: Математика,
автор: nikitachizhik768
Предмет: Алгебра,
автор: aroslavterebnin33