Предмет: Математика, автор: stylex63

Срочноооо, помогите пожалуйста

Приложения:

Ответы

Автор ответа: leprekon882
1

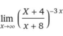
Применим второй замечательный предел

\displaystyle  \lim_{x \to \infty}\left(\dfrac{x+4}{x+8}\right)^{-3x}=\lim_{x \to \infty}\left(1-\dfrac{4}{x+8}\right)^{3x\cdot (\frac{4}{x+8})\cdot (-\frac{x+8}{4})}=e^{\lim_{x \to \infty}\frac{12x}{x+8}}=e^{12}

Похожие вопросы
Предмет: Немецкий язык, автор: milk5858
ПОМОГИТЕ СРОЧНО ПЖ,КТО ОТВЕТИТ В ТЕЧЕНИИ 30 ЧАСОВ ДАМ 50
Прочитай завдання.Обери правильний варіант відповіді
1. Wähl die richtige Antwort aus.
Woher kommst du?
Варианты:
Ich bin Timo.
Ich spiele Gitarre.
Nein, keine Lust
Ich komme aus Bonn.
2. Wähl die richtige Antwort aus.
Was machst du gern?
Варианты:
Ich kann nicht so gut schwimmen.
Das kann ich nicht gut.
Ja, ich kann schnell laufen.
Ich mache gern Musik.Ich spiele Gitarre.
3. Wähl die richtige Antwort aus.
Was ist der erste Wochentag?
Варианты:
Mittwoch
Freitag
Sonntag
Montag
4. Wahl die richtige Frage aus.
Ich finde Informatik total langweilig.
Варианты:
Was hast du am Freitag, dritte Stunde?
Wie findest du Informatik?
Was machst du?
Findest du Kunst gut?
5.Wahl die richtige Antwort aus.
Kletterst du gern?
Варианты:
Ja, wir singen.
Ja. Und ich auch!
Nein, ich surfe gern!
6. Was passt zusammen?
wir heute zusammen Volleyball spielen?
Варианты:
Lernen
Können
Machen
Müssen
7. Wähl die richtige Antwort aus.
Was machst du am Nachmittag?
Варианты:
Ja, das geht. Am Mittwoch habe ich frei.
Nein, tut mir leid. Morgen möchte ich klettern.
Ich muss Englisch lernen. Und was machst du?Gut
8. Was passt zusammen?
Ich möchte etwas trinken.
Варианты:
Ich habe Angst.
Ich habe Zeit.
Igitt, das schmeckt furchtbar.
Ich habe Durst.
9. Was passt zusammen?
Im August ist keine Schule.
Варианты:
Das Jahr hat zwölf Monate.
Mein Fahrrad ist kaputt.
Das sind Ferien.
Hor mal. Die Sängerin ist toll.
10. Was passt zusammen?
Mark braucht eine Hose.
Варианты:
Er geht in den Park.
Er geht ins Kaufhaus.
Er geht ins Schwimmbad.
Er geht ins Kino.
Предмет: Математика, автор: Аноним