Предмет: Алгебра,
автор: Аноним
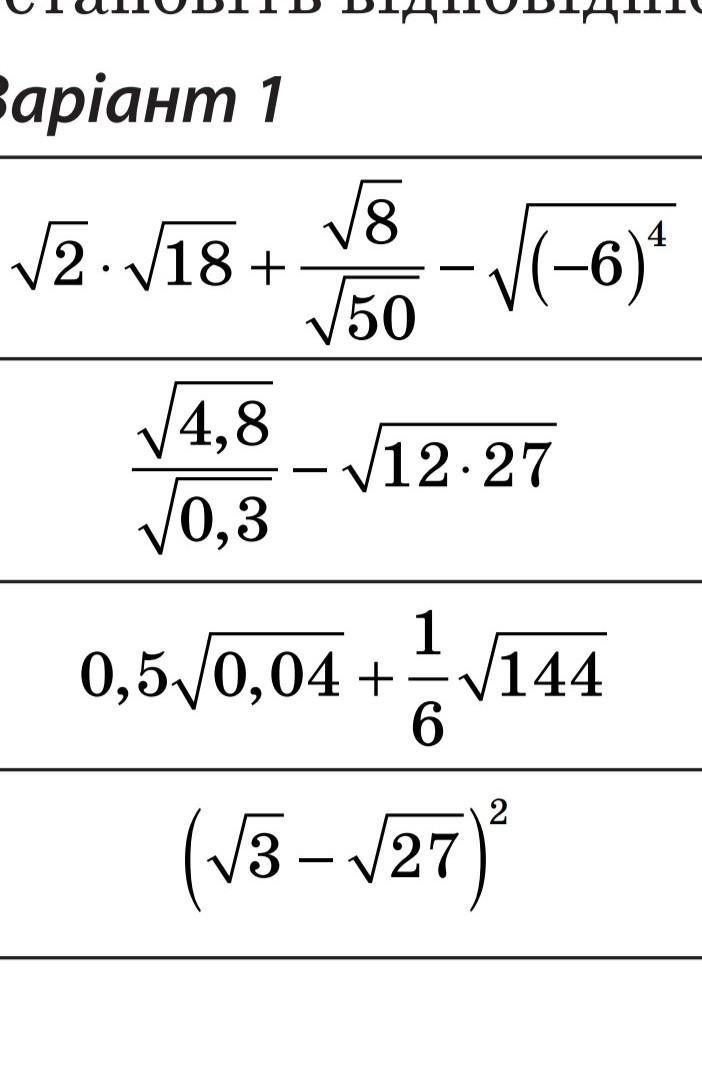
помогите срочно прошу
Приложения:
Ответы
Автор ответа:
0
Ответ:
-6-6-56-78=34 воттттттттттттт
Похожие вопросы
Предмет: Английский язык,
автор: muratovainneska
Предмет: Українська мова,
автор: alinkamalinkaalinka8
Предмет: Алгебра,
автор: Аноним
Предмет: Информатика,
автор: ksenia21125
Предмет: Математика,
автор: edvinavnesov