Предмет: Алгебра,
автор: natasadulloeva58
Помогите пожалуйста с алгеброй дам 20б я вообще не понимаю
Приложения:
Ответы
Автор ответа:
0
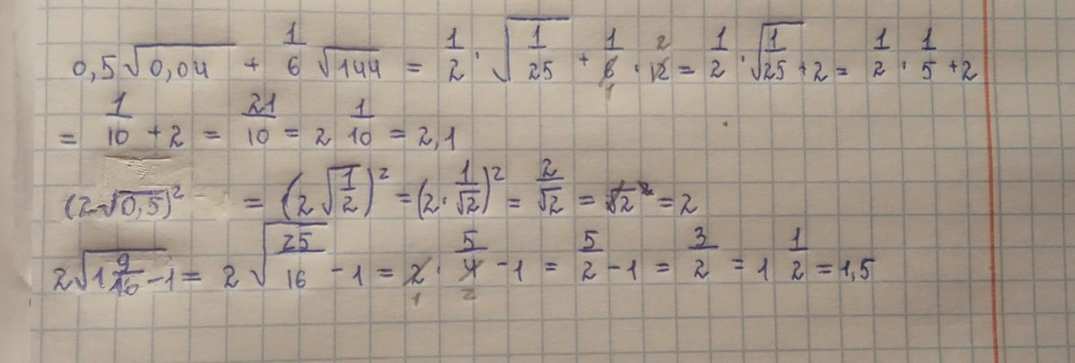
Решение примеров смотри на фото
Приложения:
Похожие вопросы
Предмет: Алгебра,
автор: chushakivan08
Предмет: Қазақ тiлi,
автор: senenyk000
Предмет: Литература,
автор: ersinlaikov74
Предмет: Литература,
автор: samilulyislam
Предмет: Математика,
автор: Аноним