Предмет: Химия,
автор: Scapeln
Помогите, пожалуйста, выполнить окислительно-восстановительные реакции:
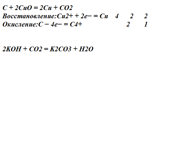
1) C+CuO=Cu+CO2
2)CO2+KOH=K2CO3+H2O
Ответы
Автор ответа:
0
2 уравнение сам(а) сделаешь...
Приложения:
Похожие вопросы
Предмет: География,
автор: sergeip77782
Предмет: Литература,
автор: juliana8978
Предмет: Математика,
автор: arinaxachatryan9
Предмет: Биология,
автор: AniLorak9999