Предмет: Алгебра,
автор: lisovskaaviktoria175
помогите прошу… :( срочно
Приложения:
Ответы
Автор ответа:
1
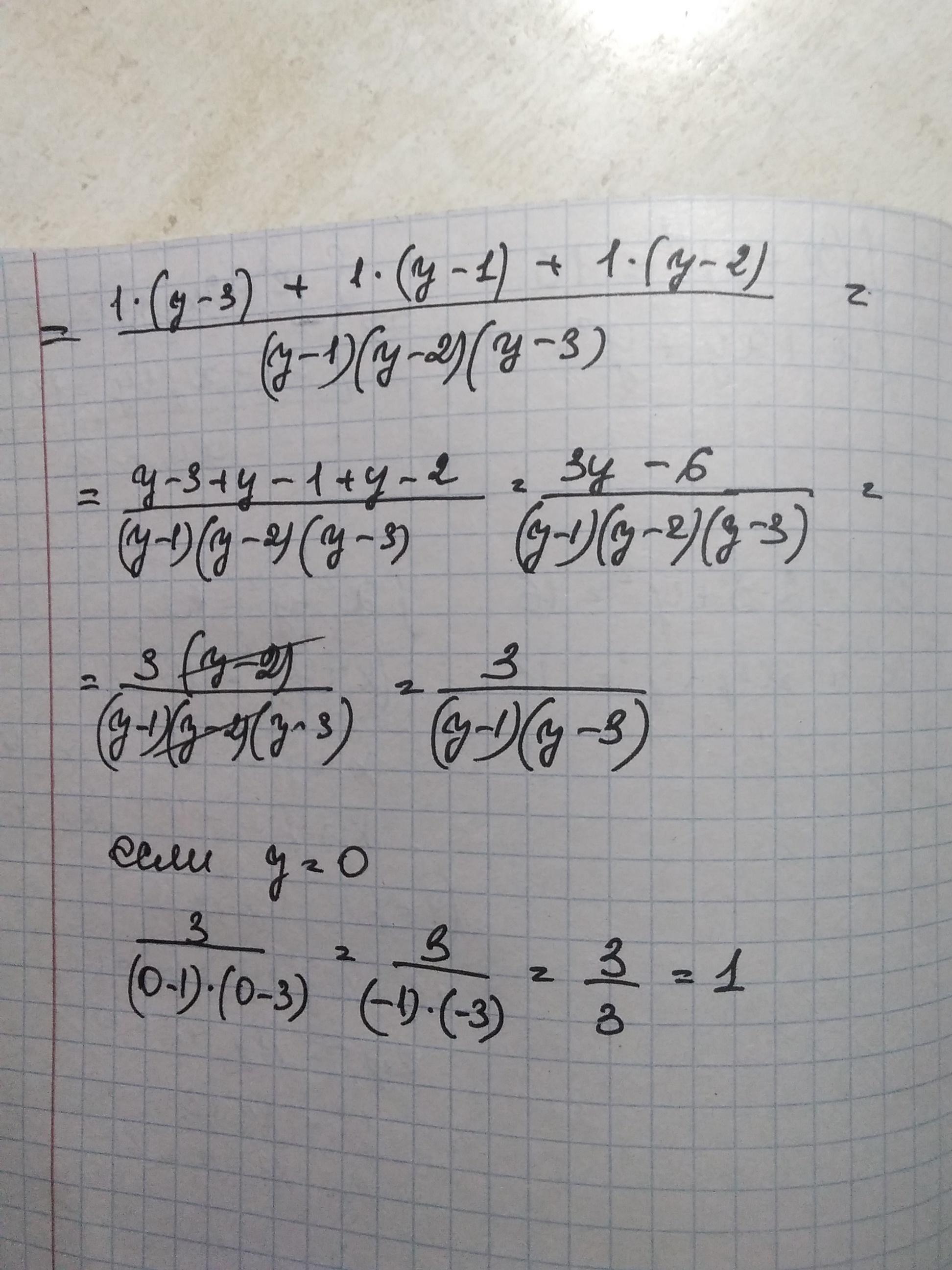
Смотри..................
Приложения:
Похожие вопросы
Предмет: Українська література,
автор: santa75551
Предмет: Математика,
автор: nsudhe3d
Предмет: Алгебра,
автор: popovychvb
Предмет: Литература,
автор: Аноним