Предмет: Математика, автор: mrramalcik2000

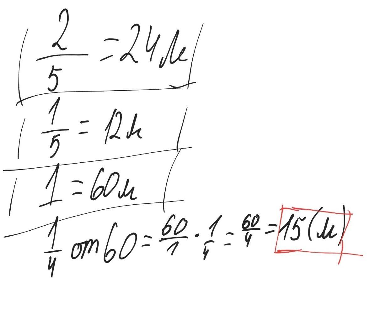
Чему равна 1/4 часть веревки,2/5 которойравны 24 м


nastia54864: Ответ: 1/4 часть веревки ровняется 15 м.

Ответы

Автор ответа: platon2428
1

Пошаговое объяснение:

/////////////////////////

Приложения:
Похожие вопросы
Предмет: Українська мова, автор: tkachkatya40108
Виконайте тести
1. Правильно вжито прийменник по в словосполученні
А план по заготівлі
Б стікати по вікну
В шукати по алфавіту
Г діяти по наказу
2. Правильно вжито прийменник по в словосполученні
А по нашим підрахункам
Б досвід по роботі з батьками
В заходи по забезпеченню
Г брат по батьковій лінії
3. Синтаксичну помилку допущено в словосполученні
А жити по правді
Б говорити по суті
В кожному по сувенірові
Г план по продажу м’яса
4. Синтаксичну помилку допущено в реченні
А Збірка поета вийшла по його смерті.
Б Сформуйте групи по двадцять осіб.
В Кажуть, п’яному море по коліна.
Г Ви поставили запитання не по темі.
5. Синтаксичну помилку допущено в реченні
А Друзі виїхали на Київ по обіді.
Б Речі були розкидані по всій кімнаті.
В В армії ніхто не буде гладити тебе по голівці.
Г У таборі діляться досвідом по роботі з хворими.
6. Прийменники на та в можуть бути на місці крапок у словосполученні
А чекати … пошті
Б працювати … фермі
В зібратися … кухні
Г бути … фабриці.
7. НЕМАЄ синтаксичної помилки в рядку
А Школа працює при університеті.
Б Погоджуся при умові доброї дисципліни.
В Я зможу допомогти при будь-яких обставинах.
Г Застосували нові технології при спорудженні клубу.
8. НЕМАЄ синтаксичної помилки в рядку
А Три явори посадила сестра при долині.
Б При бажанні можна досягти будь-чого.
В Фестиваль провели при сприянні ОДА.
Г Та це було ще при царі Панькові.
9. Виділене слово НЕ є часткою в реченні.
А Тільки в праці відчуваєш себе окриленим, необхідним людям.
Б Не знаю, чи доведеться мені ще раз побувати в Києві.
В Як хочеться почути ще хоч раз ніжну українську пісню.
Г Хай завжди сіється добро на полі людського життя.
10. Позначте рядки, у яких виділене слово є сполучником і його слід писати РАЗОМ:
А І сказала мати: ”Як/би ти, сину, йшов в отаку погоду?”.
Б Чисте полуденне небо, і тихо-тихо, немов/би все заснуло.
В То/ж сіль землі, то/ж сила молода ішла на смерть, на згубу неминучу.
Г Що/б улітку не вродило, те зимою не завадить.
Предмет: Физкультура и спорт, автор: hanser233
1.Какой объем двигательной активности считается оптимальным для студенческого возраста для обеспечения полноценной социальной и профессиональной деятельности?
1) 1 – 2 часа в неделю;
2) 2 – 4 часа в неделю;
3) 6 – 8 часов в неделю;
4) 10 – 12 часов в неделю.
2. К какому виду подготовки спортсмена относится совершенствование двигательных умений и навыков?
1) физическая подготовка;
2) техническая подготовка;
3) тактическая подготовка;
4) психологическая подготовка.
3. В какой части учебно-тренировочного занятия решаются задачи технической и физической подготовки спортсмена?
1) общая разминка;
2) специальная разминка;
3) основная часть;
4) занимательная часть.
4. Какой метод физического воспитания наиболее часто используется для развития общей выносливости?
1) переменный;
2) повторный;
3) равномерный;
4) игровой.
5. Какой метод чаще всего используется для развития быстроты и силы?
1) равномерный метод;
2) переменный метод;
3) повторный метод;
4) игровой метод.
6. Какой метод физического воспитания используется для развития гибкости?
1) равномерный метод;
2) переменный метод;
3) повторный метод;
4) соревновательный метод.
7. Что является отличительной чертой двигательного навыка?
1) динамичность движений;
2) пластичность движений;
3) автоматизация движений;
4) статичность движений.
8. Фазы формирования двигательного навыка?
1) подвижная, координационная, силовая;
2) систематичности, тренированности, внимания;
3) генерализации, концентрации, автоматизации;
4) релаксации, работоспособности, утомляемости.
9. Какие виды упражнений рекомендуется выполнять женщинам при самостоятельных занятиях для обеспечения полноценной социальной и профессиональной деятельности?
1) упражнения силового характера;
2) упражнения на выносливость;
3) упражнения скоростного характера;
4) на развитие гибкости, пластичности
10. На какой методический принцип опираются при обучении новым двигательным действиям?
1) систематичности;
2) постепенности;
3) равномерности;
4) наглядности
11. Какой показатель характеризует функциональное состояние организма?
1) вес;
2) рост;
3) артериальное давление в покое;
4) время восстановления Ч. С. С. после стандартной нагрузки.
12.Какой метод физического воспитания наиболее часто используется для развития общей выносливости?
1) переменный;
2) повторный;
3) равномерный;
4) игровой.
13. С помощью, каких отягощений можно добиться быстрого прироста силы?
1) малых;
2) средних;
3) больших;
4) предельных.
14. С какого упражнения следует начинать разминку для обеспечения полноценной социальной и профессиональной деятельности?
1) с прыжков;
2) с ходьбы и легкого бега;
3) с упражнений для туловища;
4) с упражнения для верхнего плечевого пояса.
15. С помощью, каких отягощений можно добиться увеличения мышечной массы?
1) малых;
2) средних;
3) больших;
4) предельных.