Предмет: Алгебра,
автор: korovkab3
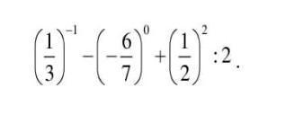
5. Вычислите:
помогите!!!!
Приложения:
Ответы
Автор ответа:
2
Ответ:
привет, вот решение) чтобы не ждать ответ, лучше закачай приложение фотоматематика (photomath), оно решает по шагам все примеры, кроме задач.
Объяснение:
Надеюсь помогла :)
Приложения:
korovkab3:
Спасибо большое!) объязательно закачаю.
Похожие вопросы
Предмет: Математика,
автор: zuzuzsczcz
Предмет: Українська мова,
автор: rgewrgwegew
Предмет: Литература,
автор: ggcuvuh
Предмет: Алгебра,
автор: cherika
Предмет: География,
автор: sofiamikhareva2007