Предмет: Физика,
автор: viktoriahomenko92
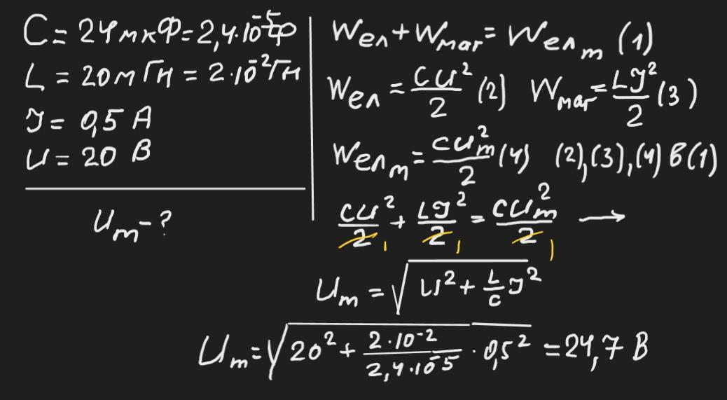
Ємнімність ідеального коливального контуру 24 мкф, індуктивність 20 міліГенрі , в деякий момент часу струм у контурі був 0,5 А , а напруга на конденсатора 20 В. Яке максимальне значення напруги в контурі
Ответы
Автор ответа:
1
Відповідь: ≈24,7 В
Пояснення:
Приложения:
vlattess:
помогите пожалуйста с последними 4 задачами в профиле. каждая задача по 100 баллов. очень нужна помощь
Похожие вопросы
Предмет: Другие предметы,
автор: darinanagornyak3
Предмет: Химия,
автор: sofi8347
Предмет: Информатика,
автор: legkoapp07
Предмет: Українська мова,
автор: nastja14032009