Предмет: Алгебра,
автор: feyyyaa
помогите пожалуйста даю 50 баллов и лучший ответ !!
Приложения:
Ответы
Автор ответа:
1
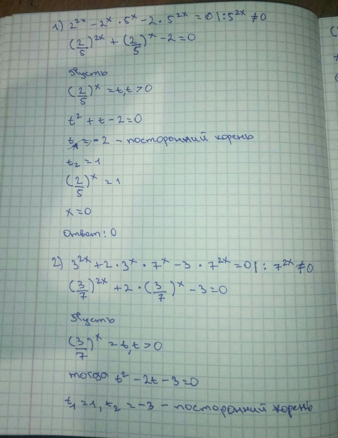
Решение на фотографии.
Приложения:
feyyyaa:
спасибо большое
я кое что изменю
не переписывайте
хорошо
всё теперь можно
удачи
Похожие вопросы
Предмет: Алгебра,
автор: alinanovicka525
Предмет: Английский язык,
автор: steshenkokirao
Предмет: Физика,
автор: torherka
Предмет: Литература,
автор: uliasheka85
Предмет: География,
автор: Аноним