Предмет: Алгебра,
автор: Malev1488
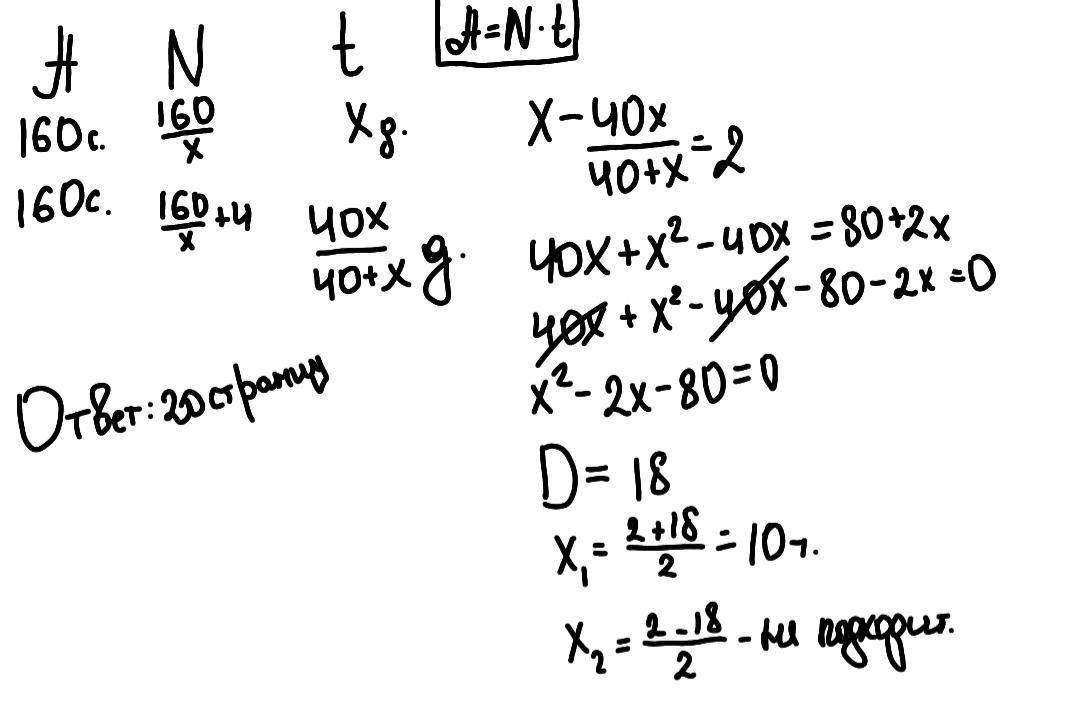
Машинистка должна была напечатать за определенное время 160 страниц. Печатая в день на 4 страницы больше, чем планировала, она завершила работу на два дня раньше срока. Сколько страниц в день печатала на самом деле машинистка?даю 20 балов
Ответы
Автор ответа:
0
Ответ:
На фото
Объяснение:
Приложения:
Похожие вопросы
Предмет: Математика,
автор: ka20110607
Предмет: Физика,
автор: sofia70048
Предмет: География,
автор: ccvx
Предмет: Алгебра,
автор: Mlinarsh
Предмет: Геометрия,
автор: nazaruknazar7