Предмет: Алгебра,
автор: Alina888880009
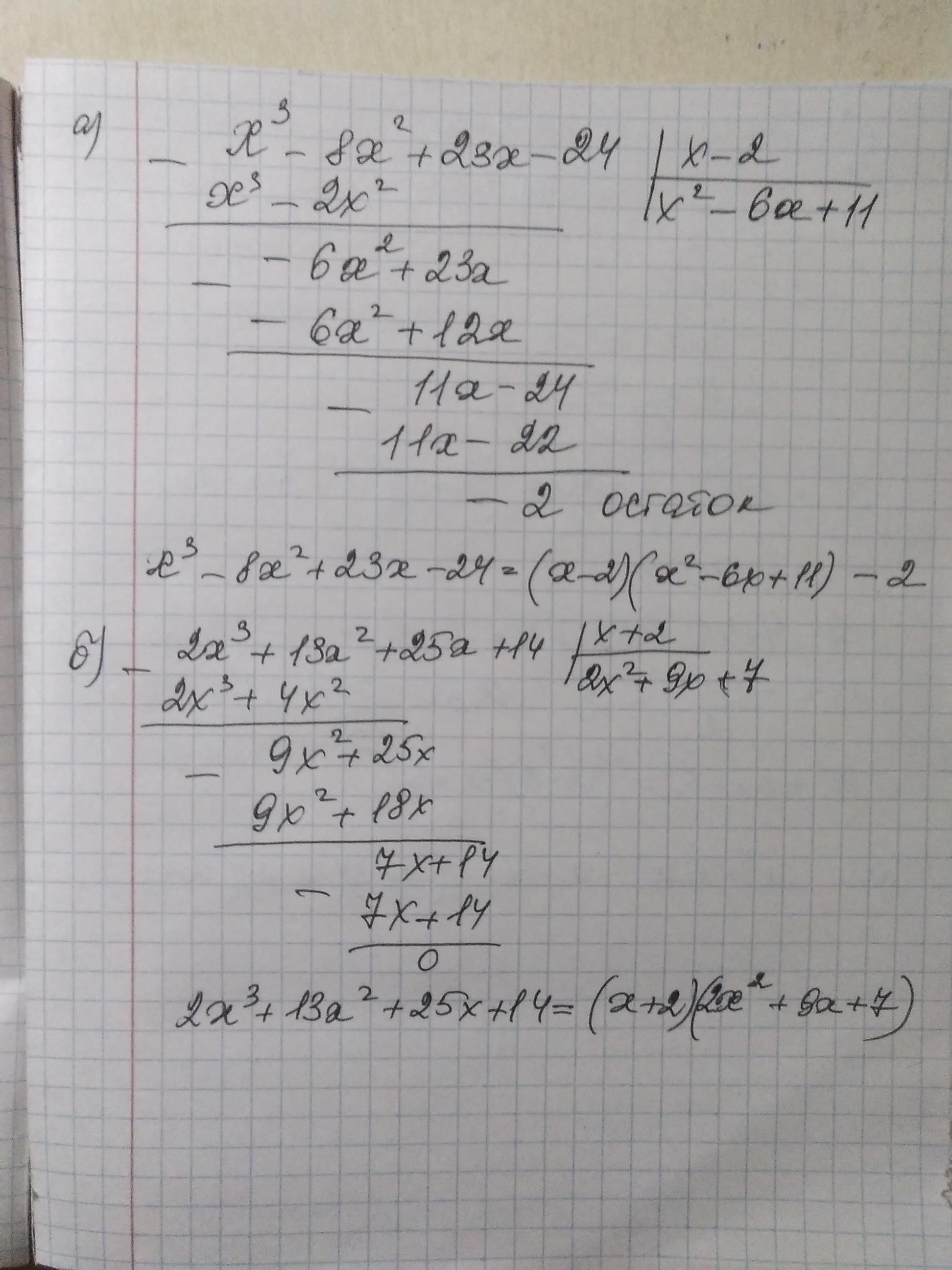
a) Разложить многочлен P(x) по степени (х-2) P(x) = x³-8x²+23x-24;
b) Разложить многочлен P(x) по степени (x+2) P(x) = 2x^3 +13x^2 + 25x +14;
Ответы
Автор ответа:
1
Смотри....................
Приложения:
Похожие вопросы
Предмет: Химия,
автор: solwix
Предмет: Українська мова,
автор: myrhorodskavi
Предмет: Английский язык,
автор: baigazinamir65edukz
Предмет: Алгебра,
автор: Аноним