Предмет: Математика,
автор: Аноним
Задание на картинки сдавать сейчас
Срочно!!!!!!!!!!!!!!!!!!!!!!!!!!!!!!!!!!!!!!
Приложения:
Ответы
Автор ответа:
0
Ответ:
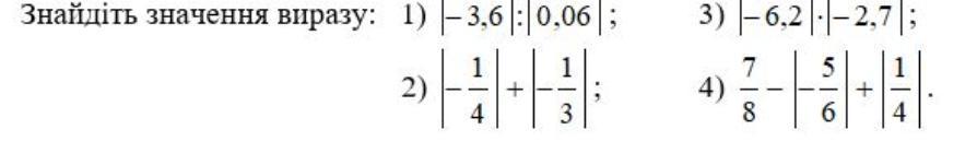
1) 60
2) 7/12
3) 16,74
4) 7/24
Похожие вопросы
Предмет: Другие предметы,
автор: biletskiyillya
Предмет: Алгебра,
автор: ionovanigar
Предмет: Математика,
автор: azusugawazxc
Предмет: Математика,
автор: Svjtoslav2010
Предмет: Музыка,
автор: yuliakalchenia