Предмет: Математика, автор: roguelegasy823

интегралы, с решением пожалуйста!

Приложения:

Ответы

Автор ответа: aiaru35
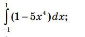
1

Ответ:

........................

Приложения:
Похожие вопросы
Предмет: Математика, автор: md04b328
Предмет: Английский язык, автор: Аноним
Name Reading comprehension (4 form) Surname At the museum Billy and Sam are friends. They study in the fourth form. They are fond of information technology at school. The friends want to be computer programmers after school. Last Sunday morning it rained. Billy and Sam didn't want to stay at home. So they went to the museum by bus. At the museum there were the oldest and the newest computers. There were more then twenty different types of robots. They saw a robot that could clean the house. There was a room with big pictures of planets and stars. The museum had a cinema too. The boys watched a film about the sun. They learned a lot about it: how large and how hot it is, how far it is from our planet. The boys liked the museum very much. They'd like to go there again. I. Write "True" or "False". 1) Billy and Sam went to the playground. 2) They are fond of information technology at school. 3) Last Sunday morning it snowed. 4) They went to the museum by bus. 5) There were more then fifty different types of robots. 6) The museum had a shop. 7) The boys watched a film about the sun. 8) They learned a lot about animals. II. Read and match. 1) The friends want to be 2) Billy and Sam didn't want 3) There was a room with 4) The boys watched to stay at home. big pictures of planets and stars. computer programmers after school. a film about the sun. III. Answer the questions. 1) What was the weather like last Sunday? 2) Who went to the museum? 3) What did the boys see on the big pictures? 4) What was the film about?​
Предмет: Математика, автор: Fresh361