Предмет: Математика,
автор: ofgbyf
Вот здесь вроде нормально видно))
Там Одно задание скинула два раза кому где удобно пусть там и смотрит
Приложения:
Ответы
Автор ответа:
0
Решение по действиям:
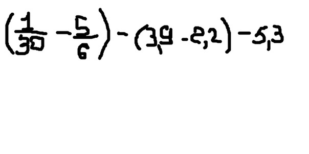
1) 1/30 - 5/6 = (1 - 25) / 30 = - 24/30 = - 8/10 = - 0,8
2) 3,9 - 2,2 = 1,7
3) - 0,8 - 1,7 = - 2,5
4) - 2,5 - 5,3 = - 7,8
Ответ в примере: - 7,8
1) 1/30 - 5/6 = (1 - 25) / 30 = - 24/30 = - 8/10 = - 0,8
2) 3,9 - 2,2 = 1,7
3) - 0,8 - 1,7 = - 2,5
4) - 2,5 - 5,3 = - 7,8
Ответ в примере: - 7,8
Похожие вопросы
Предмет: Английский язык,
автор: ikasymov919
Предмет: История,
автор: amantaevaaida770
Предмет: Математика,
автор: milanacherkasova02
Предмет: Химия,
автор: НастюшкаApple