Предмет: Алгебра,
автор: ferencsanna
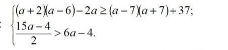
Розв'язати систему нерівностей:
Приложения:
Ответы
Автор ответа:
2
Відповідь: фото
Пояснення:
розв'язання завдання додаю
Приложения:
Похожие вопросы
Предмет: География,
автор: denisomelcpro
Предмет: Алгебра,
автор: simotukzahar
Предмет: Химия,
автор: Finnr
Предмет: Информатика,
автор: arturckik