Предмет: Математика,
автор: nadyam916
математика 6 класс, помогите пожалуйста, это линейные уравнения
Приложения:
Ответы
Автор ответа:
1
Ответ:
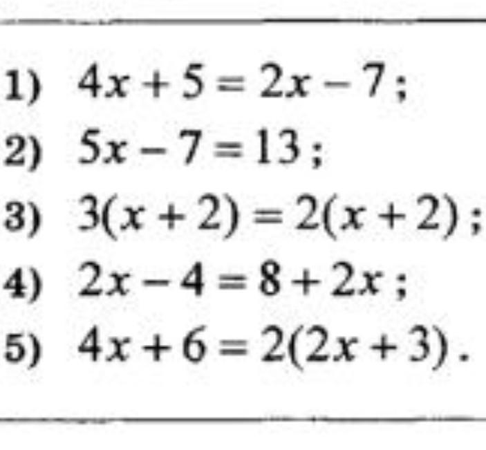
1) 4х+5=2х-7
2х=-12
х=-6
2) 5х-7=13
5х=20
х=4
3) 3(х+2)=2(х+2)
3х+6=2х+4
х=-2
4) 2х-4=8+2х
Нет решения, так как если перенести 2х на левую сторону то они взаимо уничтожаются, после чего не остаётся ни одного х
5) 4х+6=2(2х+3)
4х+6=4х+6
Бесконечно много решений начиная с нуля до +бесконечности
Пошаговое объяснение:
в 3 и 5 используется метод фонтанчика, а то есть с раскрытием скобков
Похожие вопросы
Предмет: Музыка,
автор: wellgir65
Предмет: Математика,
автор: vika13zakharova
Предмет: Химия,
автор: narminrustamova999
Предмет: Геометрия,
автор: elina4058
Предмет: Обществознание,
автор: marinamakarova1425