Предмет: Алгебра,
автор: gannaababij
Помогите, срочно нужно. В течении 6 мин. Даю 25 баллов)
Приложения:
Ответы
Автор ответа:
1
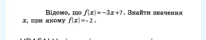
Ответ:
-2=-3х+7
-9=-3х
х=3
Объяснение:
Подставляем -2 вместо f(x), и дальше решаем как уравнение
Похожие вопросы
Предмет: История,
автор: kamilakozlan2803
Предмет: Английский язык,
автор: Аноним
Предмет: Алгебра,
автор: vladtopper12
Предмет: Русский язык,
автор: Аноним
Предмет: Информатика,
автор: kfedoseeva525