Предмет: Математика,
автор: sailaubeksherkhan
Помогите пж мне срочно пж буду блогодарен
Приложения:
Ответы
Автор ответа:
0
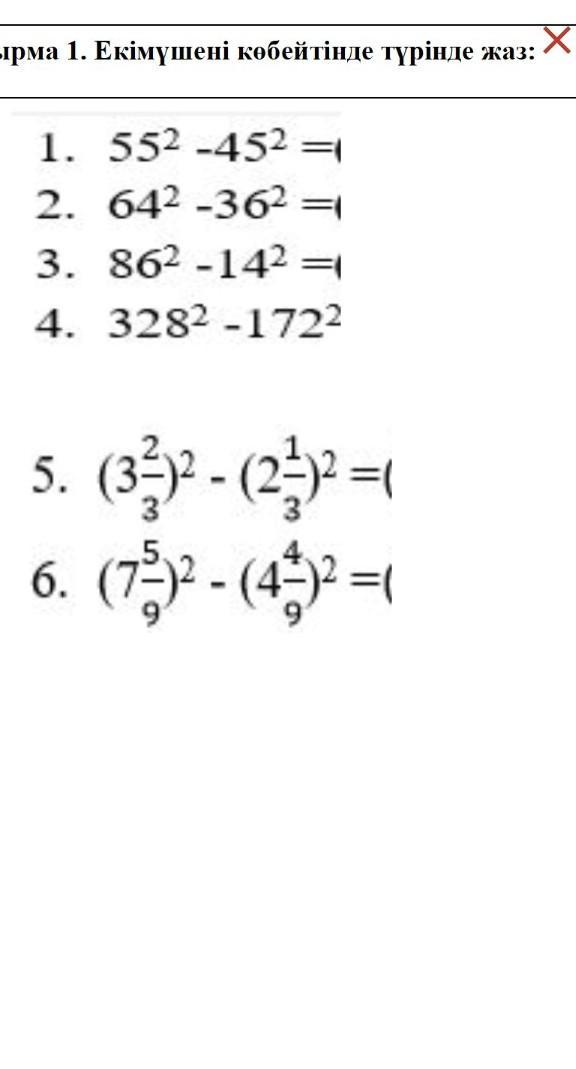
1)1089
2)2800
3)7200
4)78000
Второе незнаю как
Похожие вопросы
Предмет: Физкультура и спорт,
автор: tvkdg2jxxv
Предмет: Математика,
автор: Aimsik
Предмет: История,
автор: konfetulik
Предмет: Биология,
автор: marat4a
Предмет: География,
автор: malinovka2100