Предмет: Физика,
автор: mykiiiii
решите с дано и решением
Приложения:
Ответы
Автор ответа:
1
Ответ: 20кг
Объяснение:
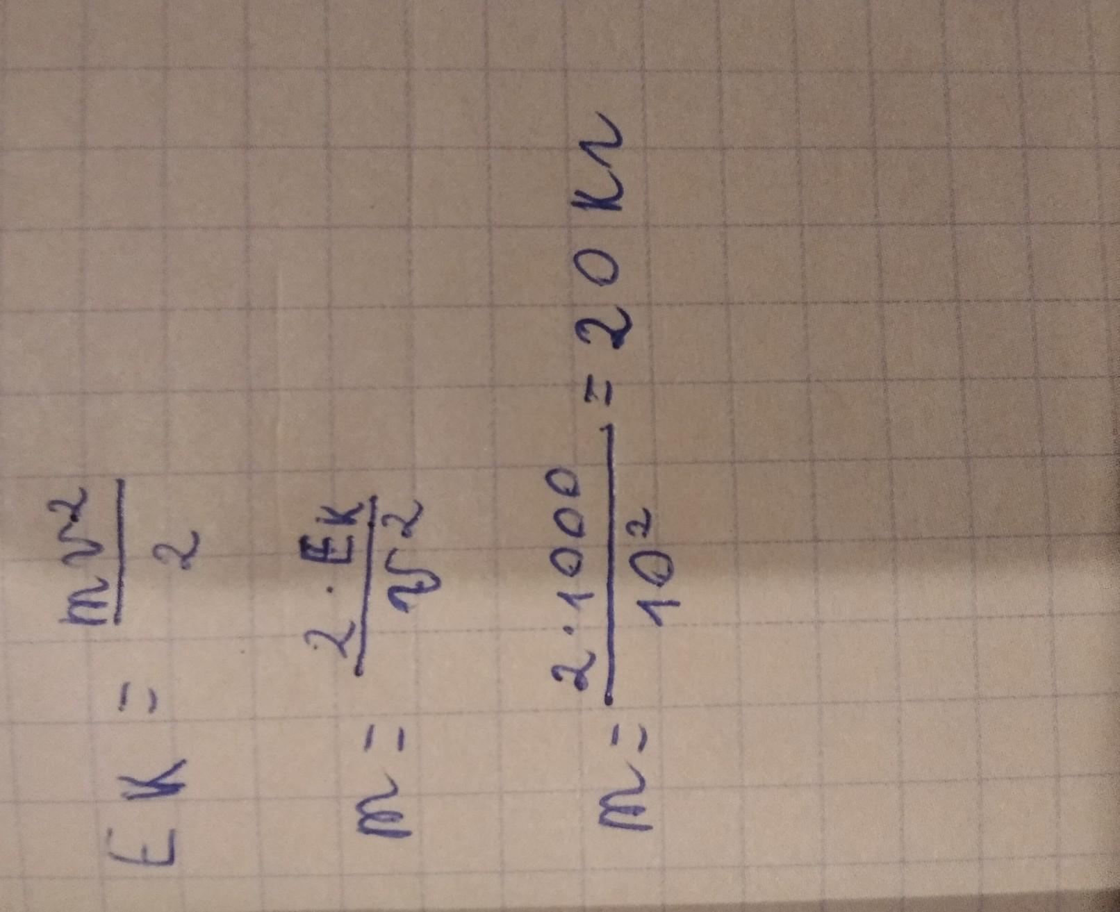
Дано:
Ек=1000Дж
V=10м/с
---------------
m-?
Ек=mV²/2, где:
m-масса тела;
V-скорость тела.
Отсюда:
m=2Ек/V²=2*1000/10²=20кг
Автор ответа:
1
Ответ:
масса равняется 20 килограмм
Приложения:
Похожие вопросы
Предмет: Алгебра,
автор: valeria9824
Предмет: Геометрия,
автор: sifisav1
Предмет: Английский язык,
автор: sofikom2011
Предмет: История,
автор: Аноним
Предмет: География,
автор: babygirl83