Предмет: Математика, автор: arianazte3

5. Найдите периметр треугольника см 1-см 13 5​

Приложения:

Ответы

Автор ответа: Аноним
1

Відповідь:

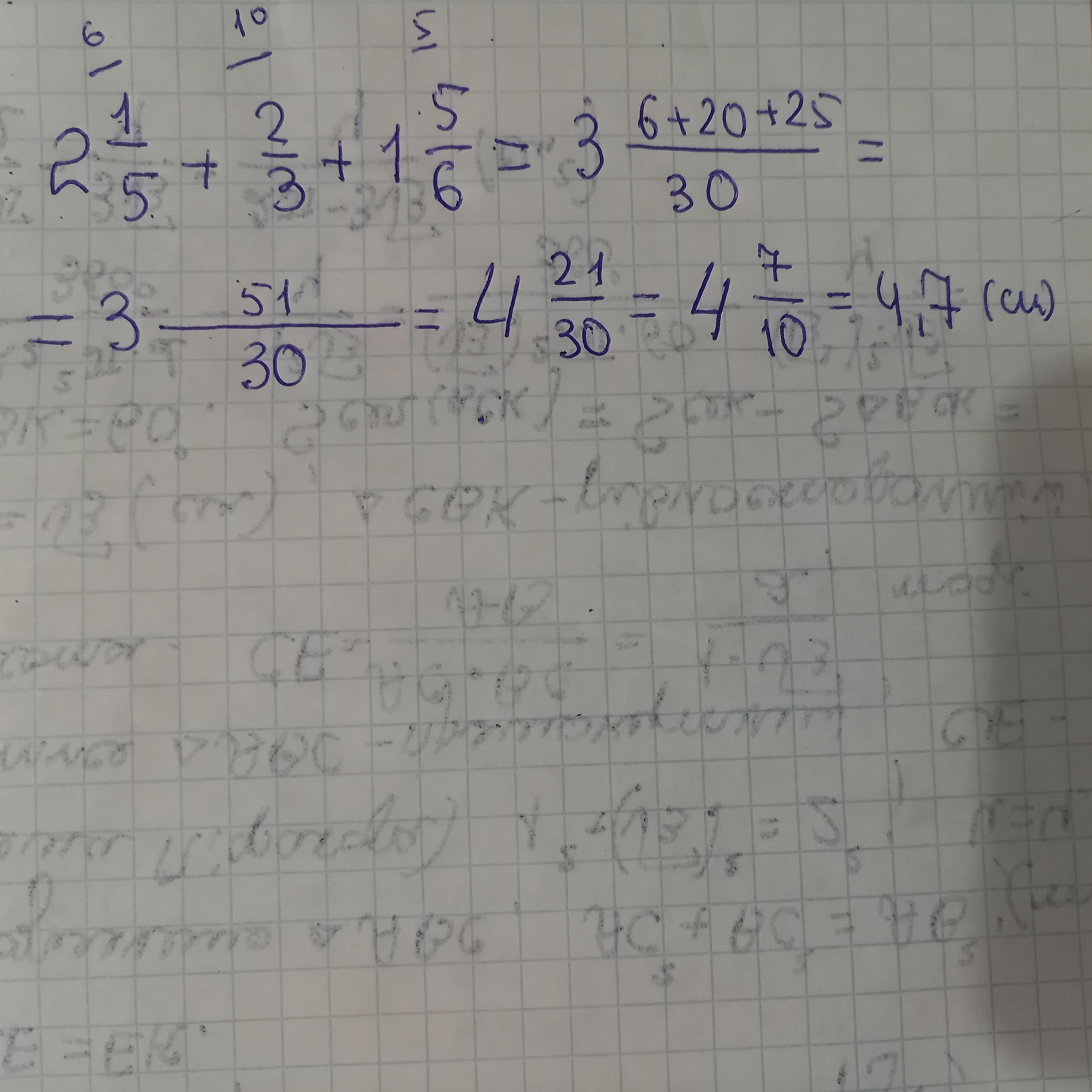
P = 2\frac{1}{5} +\frac{2}{3} +1\frac{5}{6}  = \frac{11}{5} +\frac{2}{3} +\frac{11}{6}  = \frac{66+20+55}{30} = \frac{141}{30} = \frac{47}{10} =4,7 см

Покрокове пояснення:

Автор ответа: aarr04594
1

4,7 см

###################

Приложения:
Похожие вопросы
Предмет: Математика, автор: Michenkos
Предмет: Английский язык, автор: dianabespalko20086
Предмет: Математика, автор: falkoinnochka