Предмет: Математика,
автор: vasilisaispolova228
помогите пожалуйста
Приложения:
Ответы
Автор ответа:
1
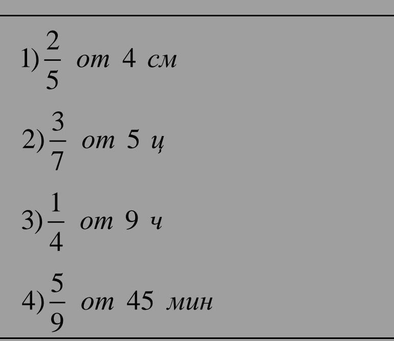
Ответ:
1) 4: 5 ×2 =1,6 см
2) 5 :7 ×3=2,1 ц
3) 9:4×1= 2,25 ч
4) 45:9×5 = 25 мин
Похожие вопросы
Предмет: География,
автор: vladislavmensem
Предмет: Математика,
автор: annagkvubkl
Предмет: Физика,
автор: sasha032019
Предмет: Математика,
автор: Аноним
Предмет: Английский язык,
автор: bezgovkov2005