Предмет: Физика,
автор: Аноним
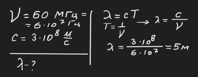
Радіостанція працює на частоті 60 МГц. На яку до-
вжину хвилі треба настроїти радіоприймач?
Пожалуйста напишіть дано і рішення.формули
Ответы
Автор ответа:
0
Відповідь: 5 м
Пояснення:
Приложения:
Похожие вопросы
Предмет: Українська література,
автор: id1619324
Предмет: География,
автор: vitaliksmart2
Предмет: МХК,
автор: Аноним
Предмет: Українська мова,
автор: anastasia2018allo
Предмет: География,
автор: starayasolomiya