Предмет: Физика,
автор: namelaim2
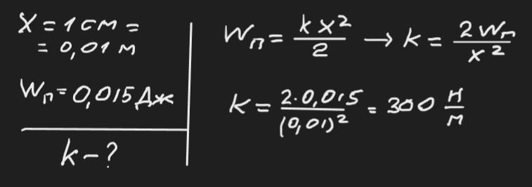
Знайти жорсткість пружини, якщо при деформації стиску 1см її потенціальна енергія дорівнює 0,015Дж
Ответы
Автор ответа:
0
Відповідь: 300 Н/м
Пояснення:
Приложения:
Похожие вопросы
Предмет: Математика,
автор: anonimhuinovic
Предмет: Математика,
автор: matiyashchyke
Предмет: Алгебра,
автор: ttaswerhg
Предмет: Биология,
автор: MmmAugyl55
Предмет: Химия,
автор: lox1927