Предмет: Алгебра, автор: Аноним

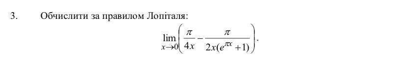
Обчислити за правилом Лопіталя.
Скриншот задания прикрепил ниже!

Приложения:

Ответы

Автор ответа: viktoriya602602
0

Відповідь: \pi ^{2}/8

Пояснення:

Приложения:
Похожие вопросы
Предмет: Литература, автор: aleksandrfilaretov3
*** Орёл свил себе гнездо на большой дороге, вдали от моря, и вывел детей. Один раз подле дерева работал народ, а орёл подлетал к гнезду с большой рыбой в когтях. Люди увидали рыбу, окружили дерево, стали кричать и бросать в орла каменьями. Орёл выронил рыбу, а люди подняли её и ушли. I Орёл сел на край гнезда, а орлята подняли свои головы и стали пищать: они просили корма. Орёл устал и не мог лететь на море; он спустился в гнездо, прикрыл орлят крыльями, ласкал их, оправлял им пёрышки и как будто просил их, чтобы подождали немного. Но чем больше он их L Ответьте на вопросы по тексту. 1.О ком или о чём рассказывается в данном тексте? о сам 2.Какова тема произведения: фоб орле? 3.Как орёл накормил своих детей? Об орлоятах? 6.Озаглавьте текст. 4.Разделите текст на части. Сколько частей будет в данном тексте? 5.Напишите, какими качествами характера обладал орёл. 7.Перечислите другие произведения Л. Толстого. Л. Н. Толстой 8.Какое задание было самым трудным для вас? 9.Какое задание было самым лёгким для вас?
дам 100 баллов
только побыстрее ​
Предмет: Математика, автор: Nownamee
Предмет: Французский язык, автор: anelnursultan50
Отметьте знаком «+» предложения, содержащие глаголы I группы в subjonctif présent 1. Je veux que tu me parles.
2. Nous voyons que les fleurs sont sur la table.
3. 11 faut que nous travaillions beaucoup.
4. Les policiers ont ordonné qu'ils ferment la porte.
5. Je suis resté dans la maison que mon ami a construit.
6. Florence est heureuse que je dessine très bien.

2. Отметьте знаком «+» предложения, содержащие глаголы II группы в subjonctif présent 1. Mes parents sont contents que je finisse mon travail à 5 heures.
2. Elle est triste que personne n'applaudisse les artistes.
3. As-tu vu que cette voiture était près de ta maison?
4. Hier, il a dit qu'il avait choisi l'école № 31
5. Souhaitez-vous que nous finissions ce livre?
6. Il faut que ru réussisses à entrer à l'institut.

3. Отметьте знаком «+» предложения, содержащие глаголы III группы в subjonctif présent
1. Je pense qu'il m'écrira.
2. On ne croit pas que vous veniez.
3. Est-ce que tu as perdu te stylo que j'avais acheté à Paris?
4. Est-ce que vous avez peur que je fesse beaucoup de fautes?
5. Nous doutons qu'ils puissent apporter les cadeaux.
6. Il est possible que tu ailles en France.
7. Il est venu au parc qu'il Savait jamais vu.
8. II est impossible que nous prenions nos places.

4. Отметьте знаком «+» правильную форму глагола в subjonctif présent
1. Es-tu contente que notre classe (être) la meilleure?
a) est c) sois b)soit d)es
2. Nous voulons que vous (voir) ce spectacle.
a) voyiez c)voiez b) voyez d) voient
3. Il est nécessaire que je (savoir) cette histoire.
a) sais c) saches b)sois d) sache
4. Est-ce qu'elle a peur que tu (finir) tes cours tard?
a) finisses c) finis b) finisse d) finit
5. Je me fâche que Pierre (regarder) la télé trop souvent.
a) regardes c)regardie b) regarde d) regardiez