Предмет: Физика,
автор: danpoggan
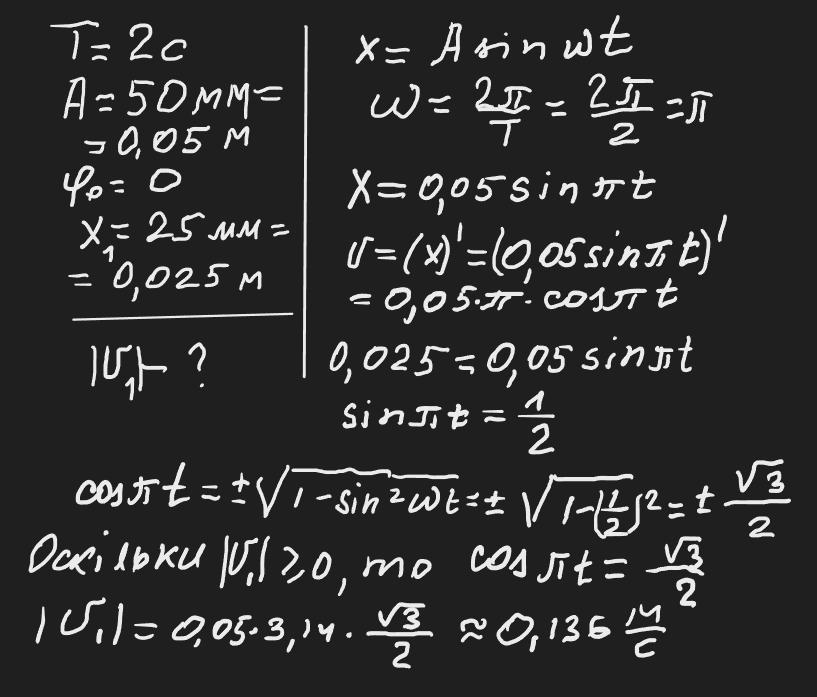
Точка виконує гармонічне коливання з періодом Т = 2 с, амплітудою А = 50 мм, початковою фазою ϕ = 0. Знайти модуль швидкості точки в момент часу, коли зміщення точки від положення рівноваги х = 25 мм.
Точка совершает гармоническое колебание с периодом Т = 2 с, амплитудой А = 50 мм, начальной фазой ϕ = 0. Найти модуль скорости точки в момент времени, когда смещение точки от положения равновесия х = 25 мм.
Ответы
Автор ответа:
1
Відповідь:
Пояснення:
х=A*sin(wt+Ф)=A*sin(wt)
sin(wt)=x/A
w*T=2pi
w=2pi/T
v=A*w*cos(wt)
|v|=A*w*корень(1-(х/А)^2)=
=A*2pi/T*корень(1-(х/А)^2)=
=0,050*2*3,14/2*корень(1-(25/50)^2)=
=0,135965988 м/с ~ 0,136 м/с = 136 мм/с
Автор ответа:
1
Відповідь: ≈ 0,136 м/с
Пояснення:
Приложения:
Похожие вопросы
Предмет: Литература,
автор: anapavlucenko78
Предмет: Українська література,
автор: zagorodnijmaksim94
Предмет: Английский язык,
автор: kulickasolomia
Предмет: Биология,
автор: crazyboy1313
Предмет: Литература,
автор: Аноним