Предмет: Физика,
автор: qinff
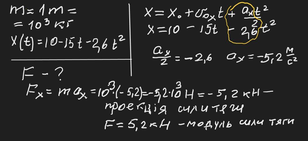
Під дією певної сили потяг масою 1 т рухається за законом x(t)=10-15t-2,6t^2. Визначити значення сили тяги, при умові, що ми нехтуємо
силою тертя.
Ответы
Автор ответа:
0
Відповідь: Модуль сили тяги = 5,2 кН
Пояснення:
Приложения:
Похожие вопросы
Предмет: Английский язык,
автор: polina855457
Предмет: География,
автор: galjynjanegoda
Предмет: Английский язык,
автор: Аноним
Предмет: Физика,
автор: miria06
Предмет: Геометрия,
автор: Shafikova4