Предмет: Физика,
автор: octtummg
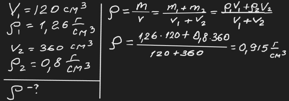
Змішали 120 см3
гліцерину та 360 см3
спирту. Знайдіть густину суміші.
Вважайте, що об’єм суміші дорівнює сумі об’ємів складових.
пажалуста з дано и рабочей формулой
Ответы
Автор ответа:
0
Відповідь: 0,915 г/см³
Пояснення:
Приложения:
Похожие вопросы
Предмет: Физика,
автор: vogorodnik374
Предмет: Алгебра,
автор: viktoria2487
Предмет: Физика,
автор: moonevelina13
Предмет: Русский язык,
автор: Kanatbekov12