Предмет: Физика,
автор: eremeister
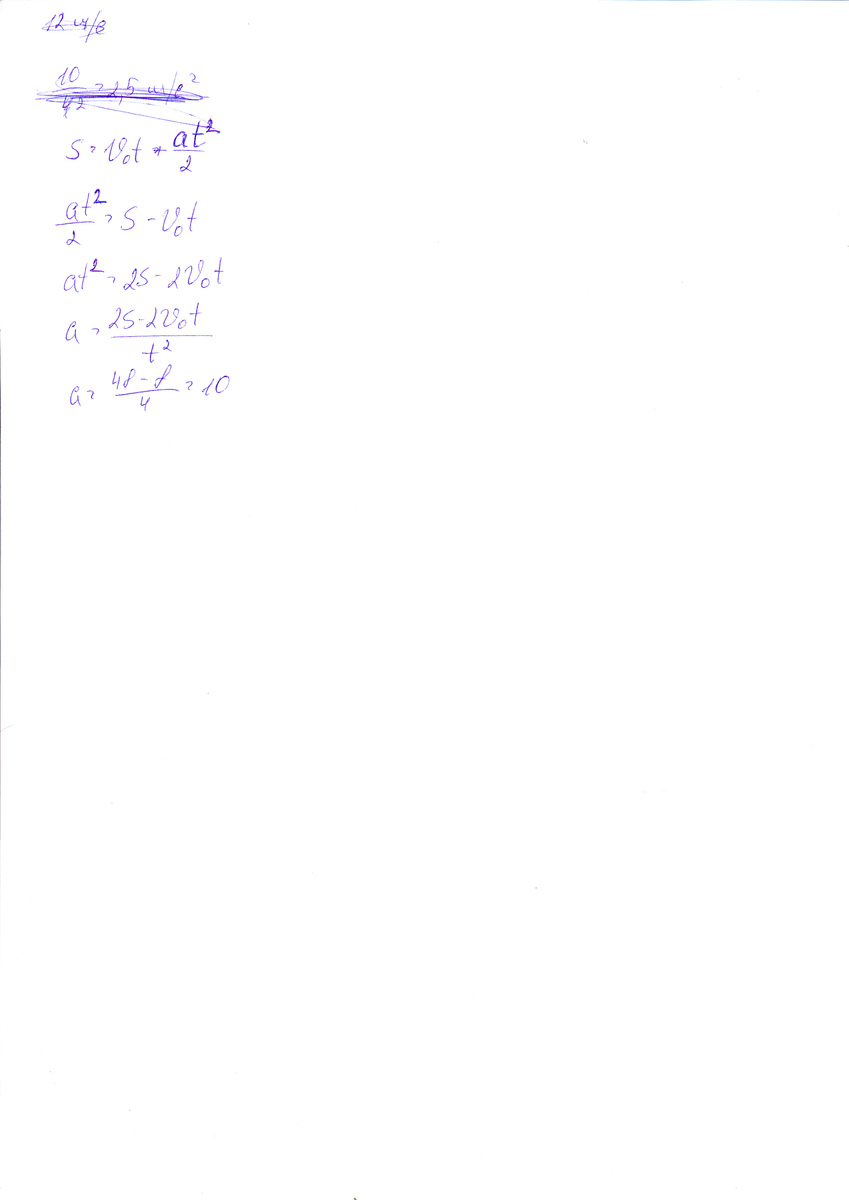
на некоторой планете тело упало с начальной скоросотью 2 м/c с высоты 24 м.Если время падения 2 с,то ускорение свободного падения на планете равно?
Ответы
Автор ответа:
0
Нажми скачать и приблизь, будет отлично видно!
Приложения:
Похожие вопросы
Предмет: История,
автор: energiatela5
Предмет: Физика,
автор: nikki94
Предмет: Английский язык,
автор: Cool1yanger1
Предмет: Математика,
автор: happi