Предмет: Алгебра,
автор: Аноним
Решите пожалуйста ,что сможете!!!!!!!!!!!желательно все!!!!!!!
Приложения:
Ответы
Автор ответа:
0
В третьем с диаграммой ответ 20. За последнее извиняюсь - не знаю как решать.
Приложения:
Автор ответа:
0
спасибо огромное!!!!
Автор ответа:
0
посмотрите еще мои задания) выложила
Автор ответа:
0
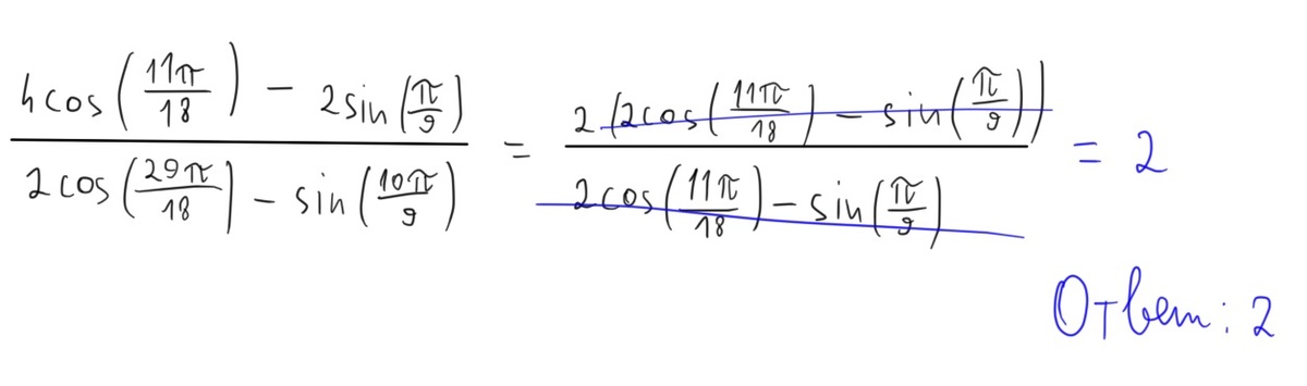
Решение во вложении. Надеюсь . что правильно.
Приложения:
Похожие вопросы
Предмет: Русский язык,
автор: Аноним
Предмет: Русский язык,
автор: ersaizhasulan
Предмет: Геометрия,
автор: kristinaledaeva7
Предмет: Алгебра,
автор: Саня333
Предмет: Математика,
автор: Nastya6554