Предмет: Физика,
автор: gerdew
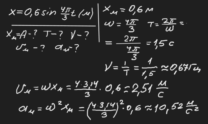
Рівняння коливань тіла має вигляд x=0,6sin4π/3t(м).
Визначте амплітуду, період і частоту коливань тіла. Обчисліть максимальну швидкість і максимальне прискорення руху тіла.
Ответы
Автор ответа:
2
Відповідь: Див. додаток
Пояснення:
Приложения:
Похожие вопросы
Предмет: География,
автор: snegovoymiha
Предмет: Українська література,
автор: Lehaa22
Предмет: Химия,
автор: dubovoy554
Предмет: Химия,
автор: basicljne007
Предмет: Українська мова,
автор: ivanmuzycuk123456