Предмет: Алгебра,
автор: yaroshanaana
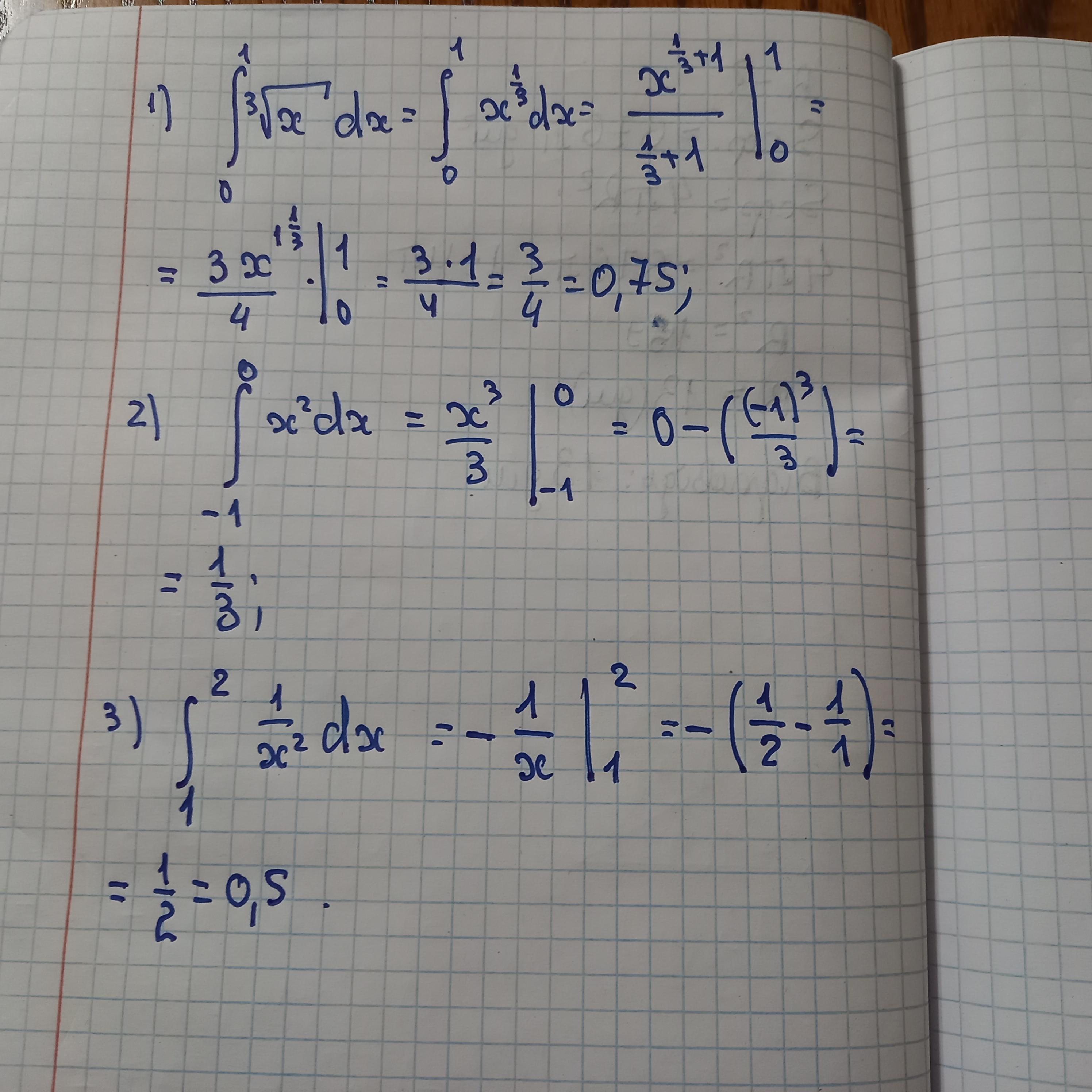
Обчислити інтеграл :
Приложения:
Ответы
Автор ответа:
1
Відповідь: фото
Пояснення:
розв'язання завдання додаю
Приложения:
Похожие вопросы
Предмет: Химия,
автор: ilove1997
Предмет: Английский язык,
автор: dasaarkova544
Предмет: Другие предметы,
автор: topalskanasta0
Предмет: Алгебра,
автор: svecovamarina11
Предмет: Математика,
автор: tsenivremya