Предмет: Геометрия,
автор: artemkorban09
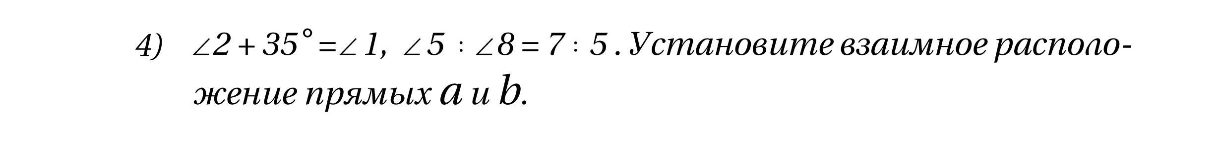
помогите дам 50!!!!!!!!!!!!!!!!!!!!!!!!!!!
Приложения:
Ответы
Автор ответа:
0
Ответ:
0.7142857143=7:5
Объяснение:
проси могу ещё помочь
Похожие вопросы
Предмет: Алгебра,
автор: kropars20
Предмет: География,
автор: Аноним
Предмет: История,
автор: lukalev08
Предмет: Право,
автор: Domestoks
Предмет: Математика,
автор: Аноним