Предмет: Физика,
автор: katleta44
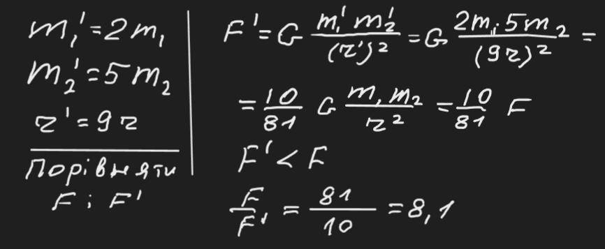
Як зміниться гравітаційна сила, якщо масу першого тіла збільшити у 2 рази, а другого - у 5 разів. Відстань збільшити на відстань, що дорівнює 9 початковим відстаням
Ответы
Автор ответа:
0
Відповідь: зменшиться у 8,1 разів
Пояснення:
Приложения:
Похожие вопросы
Предмет: Другие предметы,
автор: isidiciidiisisxi
Предмет: Английский язык,
автор: ea6860436
Предмет: Геометрия,
автор: nastyashul98
Предмет: Алгебра,
автор: vikaguseva2k6
Предмет: Обществознание,
автор: isakovakseniya