Предмет: Алгебра,
автор: DimitriyLukanov
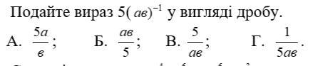
Подайте вираз 5(ab)^-1 у вигляді дробу.
Приложения:
Ответы
Автор ответа:
2
Ответ:
Відповідь: а) 5а/b
Объяснение:
Число 5(ab)^-1 можна записати як 5/ab у вигляді дробу. Зазначимо, що (ab)^-1 означає (ab) в степені -1, тобто 1/(ab). Таким чином, число 5(ab)^-1 можна також записати як 5/(ab). Результатом цієї дробі буде число 5/ab.
Автор ответа:
0
Ответ:
в)
Объяснение на фото
можно лучший ответ?)
Приложения:
Похожие вопросы
Предмет: Немецкий язык,
автор: KIRA016
Предмет: География,
автор: vaua54azio
Предмет: Физика,
автор: slitok26042011
Предмет: Химия,
автор: izoldaivanova629