Предмет: Алгебра,
автор: ladad255
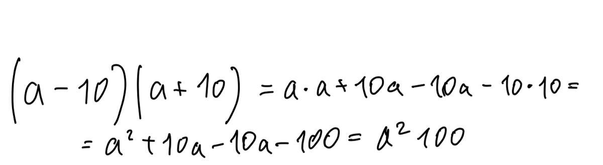
запишіть у вигляді многочлена (a-10)(a+10)
Ответы
Автор ответа:
0
Ответ:
Объяснение:
по формуле сокращённого умножения
Автор ответа:
0
Тримай відповідь
……………..
……………..
Приложения:
Похожие вопросы
Предмет: Математика,
автор: NinaRyduk
Предмет: Химия,
автор: harcenkomasa091
Предмет: Математика,
автор: dasakaminska753
Предмет: Химия,
автор: Alisa12781278
Предмет: Русский язык,
автор: vinogradovad31