Предмет: Химия,
автор: stanislavromanovic70
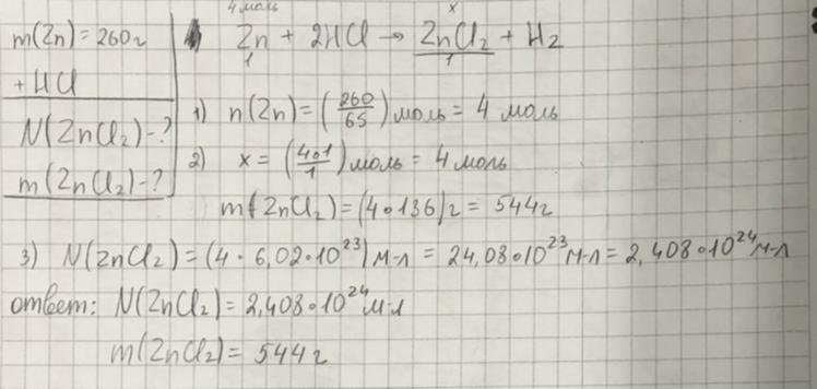
DI-. 3. Рассчитайте количество вещества и массу хлорида цинка, взаимодействия 260 г цинка с соляной кислотой. полученного в результате (Zn + 2HCl = ZnCl2 + H2
Ответы
Автор ответа:
0
Всё в фото ——————————-
Приложения:
Похожие вопросы
Предмет: Математика,
автор: msemykopenko1
Предмет: Геометрия,
автор: PyanMyaso
Предмет: Литература,
автор: mobilesvjatoslav
Предмет: История,
автор: anyaasanova07