Предмет: Алгебра,
автор: taranovich2020
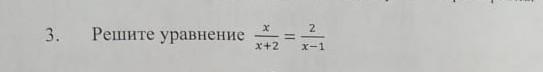
решите уравнение виета
Приложения:
Ответы
Автор ответа:
1
Смотри................
Приложения:
taranovich2020:
спасибо большое
Похожие вопросы
Предмет: Русский язык,
автор: aminaaminoska8
Предмет: История,
автор: mviter468
Предмет: Українська мова,
автор: Аноним
Предмет: Математика,
автор: rizykyasmin
Предмет: Английский язык,
автор: stojkovlad69