Предмет: Математика,
автор: darinabekzanova
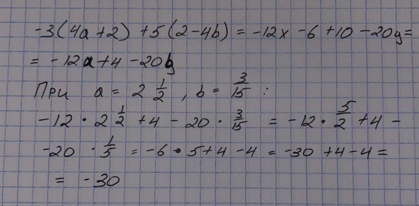
4 задание даю 25 баллов
Приложения:
Ответы
Автор ответа:
0
качество на вашем фото плохое, но вроде так, проверяйте условия
Приложения:
Похожие вопросы
Предмет: История,
автор: NastikLoll
Предмет: Українська мова,
автор: matthewtkachuk09
Предмет: Английский язык,
автор: chopenkok
Предмет: История,
автор: barsukov4nas
Предмет: Биология,
автор: nastyavolostnova