Предмет: Алгебра,
автор: libuuus
ПОМОГИТЕ ПОЖАЛУЙСТА!!!! СРОЧНО!!!! ЗАРАНЕЕ ОГРОМНОЕ СПАСИБО!!! ДАЮ МНОГО БАЛЛОВ!!!
Приложения:
veronikalaluk6:
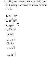
я би может помогла но на фото нічого не понятно
Ответы
Автор ответа:
0
Вибачте, але дуже погано видно.
Похожие вопросы
Предмет: Математика,
автор: halyamykevich
Предмет: Геометрия,
автор: fedorukr68
Предмет: Немецкий язык,
автор: olga7138
Предмет: Алгебра,
автор: tawerka35