Предмет: Алгебра,
автор: music8208
помогите решить. 25б
Приложения:
Ответы
Автор ответа:
0
Ответ
()()()()()()……
()()()()()()……
Приложения:
Автор ответа:
0
Ответ:
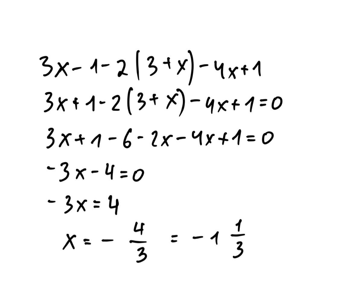
3x+1-2(3+x)<4x+1
3x+1-6-2x<4x+1
x-6<4x
x-4x<6
-3x<6
x>-2
Приложения:
Похожие вопросы
Предмет: Геометрия,
автор: sv20112022
Предмет: География,
автор: stebarita92
Предмет: Қазақ тiлi,
автор: adamkajsa66
Предмет: Информатика,
автор: kasymovnadinara
Предмет: Математика,
автор: milanabodul