Предмет: Алгебра,
автор: evo1angy
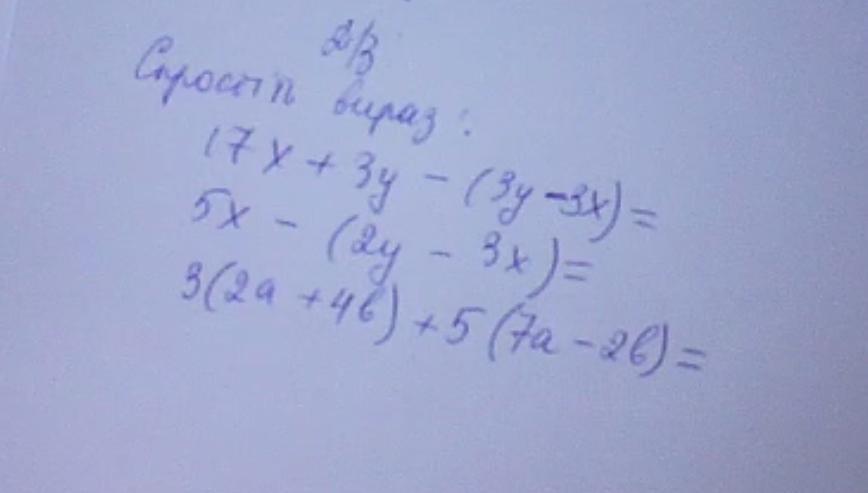
ПЖ помогите даю 75 балов
Приложения:
evo1angy:
последний помогите
пж
Ответы
Автор ответа:
0
Привіт. Може допоможе! З повагою!
Приложения:
Автор ответа:
0
вреде бы как-то так решается
Приложения:
Похожие вопросы
Предмет: Английский язык,
автор: nurislamusup
Предмет: Математика,
автор: karolinacherniuk
Предмет: Биология,
автор: CheerokeSan
Предмет: Информатика,
автор: spyttop
Предмет: Қазақ тiлi,
автор: sekotovsasa5